EmArchive
EGU 2013, more dots on the map, thermal velocimetry.
![]() |
| Meriam at EGU in Vienna last week |
![]() |
| Jim, Lily, and Nathan load three Em2 geomodels today |
Our Meriam is back from EGU 2013, where she respresented us in her four languages. She’s jet-lagged and exhausted, but bears lots of good news.
Three Em2 models left this afternoon; off to do good things, way more than dots on a map to us.
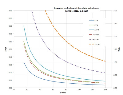
Jim and I continued work on a thermal velocimeter for our models. A nifty concept used a lot for air. Not so easy to apply in water.
I should let this concept go for something simpler, but the physical interactions; thermodynamics, electronics, fluid mechanics, are fascinating.
![]() |
| Notes in instruments for thermal velocimeter R&D |
![]() |
| Power-resistance curves for thermistors we’re testing |
![]() |
| A thermistor being tested in the flume. |



